《蓝移现象及其对LED性能的影响》

发布时间:2025-10-22

作者:

蓝移现象及其对LED性能的影响

 

 

蓝移(Blue Shift)指材料的光学响应(如吸收边、荧光峰或电致发光峰)向短波长(高能量)方向移动的现象。其本质是材料能带结构或电子跃迁能量的变化,与量子尺寸效应、极化电场屏蔽、晶格应力调控等物理机制密切相关。在半导体领域,该现象尤其显著于纳米材料和III族氮化物(如GaN、InGaN)量子阱结构中。

 

01、蓝移现象在LED外延中的表现

蓝移现象在LED外延生长中的表现主要体现在发光峰波长的缩短。

 

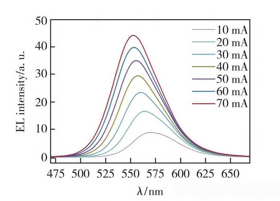
随着注入电流的增加,LED的发光主峰通常会向短波长方向移动,即发生蓝移。这种现象在多种LED结构中均有观察到,例如在GaN基LED中,随着电流的增加(10mA→70mA),发光波长从570 nm蓝移到约560 nm或更短的波长(如图1)。此外,在InGaN/GaN多量子阱结构中,蓝移现象也较为明显,尤其是在高电流条件下,发光波长的变化幅度较大。

(图1 不同注入电流下GaN LED样品的EL光谱)

 

蓝移现象的原因通常与量子限制斯塔克效应(QCSE)有关。当载流子注入LED时,它们会屏蔽量子阱中的极化电场,从而减弱QCSE,导致跃迁能量增加,从而产生蓝移。蓝移幅度Δλ满足:

 

Δλ∝1/F极化

 

其中F极化为极化电场强度。 此外,压应力的减小也有助于降低蓝移现象,例如在纳米柱结构中,由于应力得到部分缓解,蓝移现象被有效抑制。

 

公式关联:应力弛豫度η与蓝移量负相关:

 

Δλ蓝移∝(1−η)

(图2 纳米柱蓝光发光二极管在不同注入电流下的发光光谱)

 

02、不同材料体系中蓝移现象的差异

不同材料体系(如GaN、InGaN等)中蓝移现象的差异主要体现在以下几个方面:

InGaN基LED的蓝移:InGaN基LED在注入电流增加时通常会表现出蓝移现象。这种蓝移可能与In成分的波动有关,In成分波动会在InGaN中形成深束缚态,从而影响能带结构并导致蓝移。

 

如图3所示,InGaN基绿光芯片含有的In成分比 InGaN基蓝光芯片要多,使其蓝移更为明显。此外,InGaN基LED的蓝移还可能受到应变效应的影响,例如在应变MQW结构中,极化电场的屏蔽作用也会导致蓝移。

(图3 蓝(左)绿(右)LED蓝移量的差异)

 

GaN基LED的蓝移:GaN基LED的蓝移现象相对较小。例如,在GaN薄膜中,随着In含量的增加,发光峰会蓝移,但这种蓝移程度通常小于InGaN基LED。此外,GaN的蓝移还可能受到温度的影响,低温下GaN的禁带宽度增大,导致自由激子的发光峰相对于室温时的带边发光峰出现蓝移。

 

AlGaN基LED的蓝移:AlGaN基LED的蓝移现象则表现为红移,这与InGaN基LED的蓝移相反。AlGaN基LED的红移现象可能与Al成分的引入有关,Al的掺杂会改变材料的能带结构,从而影响发光波长。也有研究表明 AlGaInP基红光LED的红移现象则可归因于自热效应,电流密度增大导致芯 片结温升高、带隙收缩,从而使得发光波长红移。

 

(图4 不同温度下随电流密度变化的中心波长变化曲线(a)蓝光 Micro-LED;(b)绿光 Micro-LED;(c)红光 Micro-LED;(d) 蓝光 Mini-LED;(e)绿光 Mini-LED;(f)红光 Mini-LED。) 

 

此外蓝移现象还受结构和生长条件的影响。

 

多量子阱(MQW)结构的影响:在InGaN/GaN多量子阱结构中,蓝移现象可能与量子阱的宽度和In含量有关。例如,In含量较高、量子阱宽度较小的样品在低电流下表现出更强的载流子局域化效应,导致蓝移更为明显。此外,量子限制Stark效应和压应力的变化也会影响蓝移的程度。

 

生长条件的影响:生长条件(如压力、温度、TMIn流量等)对蓝移现象也有显著影响。例如,在高压条件下,InGaN的发光峰会蓝移;在低温下,载流子寿命较长,光生载流子有更多机会从浅能级迁移至较深的能级处辐射复合,导致PL光谱的高能端强度减弱,从而使得荧光峰位首先出现红移。随着温度的进一步升高,更多的载流子受激发从局域化能级解离出来,光生载流子非辐射复合逐渐增强,载流子寿命下降,越来越多的载流子在没有迁移至更低的局域化能级之前发生复合,这样使光谱高能端强度增强,峰位发生蓝移。此外,温度的变化还会影响载流子的迁移率,从而影响蓝移现象。

 

不同材料体系中的蓝移现象差异主要源于材料成分、结构设计、生长条件以及载流子行为等因素的综合作用。

 

03、蓝移现象对LED器件性能的影响

蓝移现象对LED性能的影响主要体现在以下几个方面:

 

(图5 蓝光LED在不同激发电流下的发光参数)

 

发光波长变化:随着注入电流的增加,LED的发光峰波长通常会向短波长方向移动,即发生蓝移。这种现象在InGaN/GaN多量子阱结构中尤为明显,主要归因于载流子对极化场的屏蔽效应以及能带填充效应。如图5所示,可见,在 5~1000mA的电流范围内,蓝光LED芯片的峰值波长由451.1nm 减小到444.8nm。

 

发光效率变化:在小电流驱动下,蓝移现象较为明显,但随着电流的增加,蓝移效应可能减弱甚至出现红移。此外,电流增加还会导致载流子泄漏和内部损失增加,加剧LED的droop效应,进一步降低发光效率(如图5)。

 

光谱展宽:随着电流的增加,LED的光谱半峰全宽(FWHM)通常会增大,即光谱展宽。如图5所示,在电流从0mA增加到1000mA时,FWHM从约6nm增加到约17.6nm,增加了约11.6nm。这种展宽现象可能与载流子填充效应和能带倾斜程度的变化有关。

 

色度稳定性:蓝移现象会影响LED的色度稳定性,导致实际应用中器件色彩漂移,影响荧光粉的激发效率,降低流明效率,并使器件偏离白光光谱,影响色温指标。例如,LED芯片的色坐标在不同温度下会发生偏移,导致颜色不稳定。  

 

蓝移现象对LED器件的发光性能、效率、色度稳定性、光谱展宽以及器件寿命等方面均有显著影响。在实际应用中,需要通过优化材料结构、外延工艺和封装技术来减小蓝移效应,提高LED器件的性能和可靠性。

 

蓝移现象是量子限制斯塔克效应、载流子屏蔽、能带填充等多物理机制竞争的结果,其调控需兼顾材料生长、结构设计与工作条件优化。通过应变工程(如纳米结构)、量子阱混杂、载流子平衡等策略,可显著提升波长稳定性,满足高显色照明、Micro-LED显示等前沿应用需求。未来研究需深入探索应变-极化-载流子的多场耦合机制,推动LED向“零频移”目标迈进。

 

参考资料:

1.I.Miletto, Alberto Fraccarollo et al. “Mesoporous silica nanoparticles incorporating squaraine-based photosensitizers: a combined experimental and computational approach..” Dalton transactions      

2. Y. Ruan. “A General Blue-Shift Phenomenon.”

3. W. Malkus, M. C. Thayer. “Notes on the 1969 Summer Study Program in Geophysical Fluid Dynamics at the Woods Hole Oceanographic Institution.”

4. Jin Yang, Shaokuan Gong et al. “Auger‐Assisted Secondary Hot Carrier Transfer in a Type I MoS2/PtSe2 Heterostructure.” Advanced Functional Materials

5. Do-Hyeon Kim, Yeonho Chang et al. “Blue-conversion of organic dyes produces artifacts in multicolor fluorescence imaging†.” Chemical Science

6. Mohsen Hafez-Torbati, D. Bossini et al. “Magnetic blue shift of Mott gaps enhanced by double exchange.” Physical Review Research